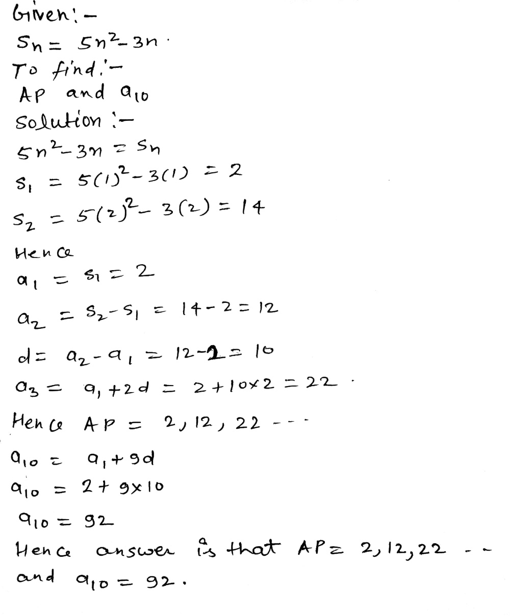
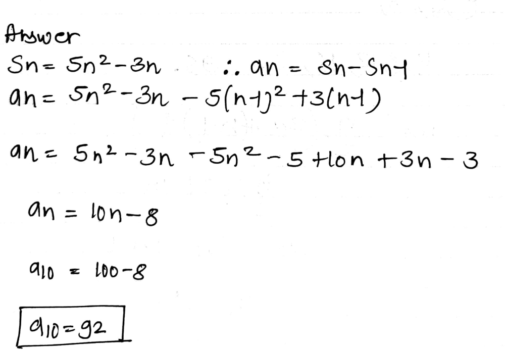
If Sum Of First N Term Of An Ap Is 5n2 3n Find The Ap And Also Find Its 16 Th Term Brainly In
«Вміння розв'язувати задачі – практичне мистецво, подібне плаванню або катанню на лижах, або грі на фортепіано;Một cấp số nhân có số hạng đầu u1 = 3 công bội q = 2 Biết Sn = 765 Tìm n Một cấp số cộng có tổng n số hạng đầu là Sn được tính theo công thức Sn = 5n2 3n, () Cho tam giác ABC cân tại A Biết rằng độ dài cạnh BC, trung tuyến AM và cạnh AB
Sn=5n2/2+3n/2
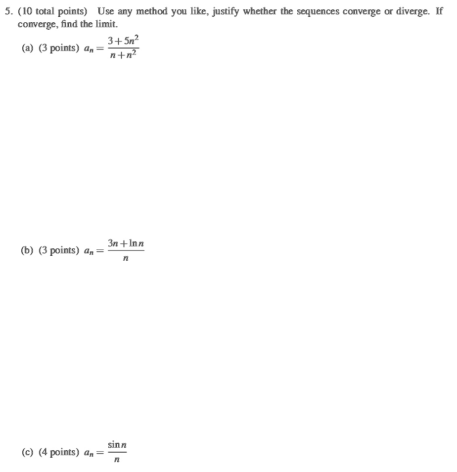
Sn=5n2/2+3n/2- Jakarta Barisan aritmatika masuk ke dalam materi barisan dan deret dalam mata pelajaran matematika Untuk bisa memahami lebih, detikers bisa belajar dari contoh soal barisan aritmatika SMA di sini Dikutip dari buku Persiapan UN dan UMPTN Matematika SMA karya Sobirin barisan aritmatika adalah barisan yang memiliki selisih atau beda yang tetapThe sum of first n terms of an AP is 5n2 3n If its mth terms is 168, find the value of m Also, find the th term of this AP
If Sn The Sum Of First N Terms Of An Ap Is Given By Sn 3n2 4n Find The Nth Term Youtube
Câu hỏi Một cấp số cộng có tổng của n số hạng đầu S n tính theo công thức \({S_n} = 5{n^2} 3n,\left( {n \in {N^*}} \right)\) Tìm số hạng đầu u 1 và công sai d của cấp số cộng đó Kumpulan contoh soal dan pembahasan tentang barisan dan deret aritmatika Contoh soal menentukan rumus suku ken barisan aritmatika jika suku pertama dan beda diketahui, jumlah n suku pertama diketahui, dua suku sebarang diketahui, dan beberapa suku diketahui Mar 25,22 The nth term of the series whose sum to n terms is 5n2 2nisa)3n – 10b)10n –2c)10n – 3d)none of theseCorrect answer is option 'C' Can you explain this answer?
Experts are tested by Dengan Un menyatakan suku ken barisan atau deret aritmatika, Sn menyatakan jumlah n suku pertama deret aritmatika, dan S n1 menyatakan jumlah n1 suku pertama deret tersebut Contoh Jika jumlah n suku pertama pada suatu deret aritmatika dinyatakan oleh Sn = 3n 2 5n, maka tentukanlah rumus suku ken deret tersebut!Avail 25% off on study pack Avail Offer
Sn=5n2/2+3n/2のギャラリー
各画像をクリックすると、ダウンロードまたは拡大表示できます
![]() | ||
![]() | ![]() | ![]() |
![]() | ![]() | ![]() |
「Sn=5n2/2+3n/2」の画像ギャラリー、詳細は各画像をクリックしてください。
![]() | ![]() | |
![]() | ![]() | ![]() |
![]() | ![]() | ![]() |
「Sn=5n2/2+3n/2」の画像ギャラリー、詳細は各画像をクリックしてください。
![]() | ||
![]() | ![]() | ![]() |
![]() | ![]() | |
「Sn=5n2/2+3n/2」の画像ギャラリー、詳細は各画像をクリックしてください。
![]() | ![]() | |
![]() | ![]() | |
![]() | ![]() | |
「Sn=5n2/2+3n/2」の画像ギャラリー、詳細は各画像をクリックしてください。
![]() | ![]() | |
![]() | ![]() | ![]() |
![]() | ![]() | ![]() |
「Sn=5n2/2+3n/2」の画像ギャラリー、詳細は各画像をクリックしてください。
![]() | ||
![]() | ![]() | ![]() |
![]() | ![]() | ![]() |
「Sn=5n2/2+3n/2」の画像ギャラリー、詳細は各画像をクリックしてください。
![]() | ![]() | ![]() |
![]() | ![]() | |
![]() | ![]() | |
「Sn=5n2/2+3n/2」の画像ギャラリー、詳細は各画像をクリックしてください。
![]() | ![]() | ![]() |
![]() | ![]() | ![]() |
![]() | ![]() | |
「Sn=5n2/2+3n/2」の画像ギャラリー、詳細は各画像をクリックしてください。
![]() | ![]() | ![]() |
![]() | ![]() | ![]() |
![]() | ![]() | |
「Sn=5n2/2+3n/2」の画像ギャラリー、詳細は各画像をクリックしてください。
![]() | ![]() | ![]() |
![]() | ![]() | ![]() |
![]() | ![]() | ![]() |
「Sn=5n2/2+3n/2」の画像ギャラリー、詳細は各画像をクリックしてください。
![]() | ![]() | ![]() |
![]() | ![]() | ![]() |
![]() | ||
「Sn=5n2/2+3n/2」の画像ギャラリー、詳細は各画像をクリックしてください。
![]() | ![]() | |
![]() |
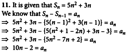
навчитися цьому можливо лише відтворюючи вибрані зразки и постійно тренуючись», говорив Д ПойIf sum of n terms of an arithmetical progression is 5n 2 3n, then its p th term is This question was previously asked in UP TGT Mathematics 19 Official Paper
Incoming Term: sn=5n2+3n, sn=5n^2+3n then nth term is, jika sn=5n2-3n, if sn =5n2+3n, sn=5n2/2+3n/2, if sn=5n^2+3n, for an ap sn=5n2-3n then an=10n-8,





















































































0 件のコメント:
コメントを投稿